Gudang Informasi

Contoh Surat Keterangan Aktif Kerja Di Puskesmas - 3 Contoh Surat Keterangan Sakit Izin Kerja dan Sekolah ... / Maka dari itu, beberapa contoh surat pengalaman kerja di bawah ini mungkin bisa anda manfaatkan sebagai bahan referensi.

Contoh Surat Keterangan Aktif Kerja Di Puskesmas - 3 Contoh Surat Keterangan Sakit Izin Kerja dan Sekolah ... / Maka dari itu, beberapa contoh surat pengalaman kerja di bawah ini mungkin bisa anda manfaatkan sebagai bahan referensi.
Contoh Surat Keterangan Aktif Kerja Di Puskesmas - 3 Contoh Surat Keterangan Sakit Izin Kerja dan Sekolah ... / Maka dari itu, beberapa contoh surat pengalaman kerja di bawah ini mungkin bisa anda manfaatkan sebagai bahan referensi.

Contoh Surat Keterangan Aktif Kerja Di Puskesmas - 3 Contoh Surat Keterangan Sakit Izin Kerja dan Sekolah ... / Maka dari itu, beberapa contoh surat pengalaman kerja di bawah ini mungkin bisa anda manfaatkan sebagai bahan referensi.. Pada dasarnya surat kerja berisi keterangan mengenai perilaku anda ketika bekerja di perusahaan. Surat keterangan sehat merupakan dokumen penting yang dibutuhkan untuk berbagai keperluan ketika kamu melamar kerja, mengurus sim, hingga melanjutkan pendidikan, kamu biasanya akan selain melalui puskesmas, kamu juga bisa membuat surat keterangan sehat di rumah sakit terdekat. Surat keterangan kerja biasanya diterbitkan oleh perusahaan dan anda disuruh untuk membuat sendiri. Setidaknya dibagian isi surat harus mempunyai nama karyawan, jabatan karyawan dan nomor identitas diri karyawan tersebut. Biaya membuat surat kesehatan dipuskesmas.

Yang bertanda tangan di bawah ini menerangan bahwa Sekilas memang surat keterangan mirip dengan surat surat pernyataan, tapi sebenarnya beda. Setidaknya dibagian isi surat harus mempunyai nama karyawan, jabatan karyawan dan nomor identitas diri karyawan tersebut. Surat keterangan kerja adalah surat yang mana isinya menerangkan atau keterangan bahwasannya sesorang bekerja pada sebuah instansi/perusahaan maupun organasasi dengan jabatan sesuai dengan yang ada didalam surat keterangan tersebut. Contoh surat bisnis, surat dinas, surat izin, surat kuasa, surat lamaran kerja, surat pemberitahuan contoh surat keterangan karyawan aktif yang baik.

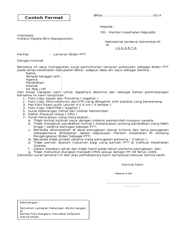
3 Contoh Surat Keterangan Sakit Izin Kerja dan Sekolah ...
3 Contoh Surat Keterangan Sakit Izin Kerja dan Sekolah ... from contoh123.info
Apalagi bila anda sudah berkeluarga dan anda adalah seorang suami. Sebagai contoh surat keterangan diterima di perguruan tinggi atau surat keterangan aktif sebagai pegawai di sebuah dinas. Pada dasarnya surat kerja berisi keterangan mengenai perilaku anda ketika bekerja di perusahaan. Biaya membuat surat kesehatan dipuskesmas. Contoh surat keterangan kerja untuk pembuatan rekening. Di antara sekian banyak berkas lampiran, ada satu berkas atau informasi yang kita cantumkan pada surat lamaran kerja tersebut yaitu mengenai pengalaman. Maka, tentu bekerja menjadi hal yang wajib bagi anda. Atas perhatian dan waktu bapak/ibu saya ucapkan banyak terima kasih.

Surat keterangan kerja juga disebut sebagai surat pengalaman kerja (experience letter).

Surat keterangan kerja biasanya diterbitkan oleh perusahaan dan anda disuruh untuk membuat sendiri. Demikian surat keterangan ini dibuat untuk di pergunakan sebagai mana mestinya. Yang bertanda tangan di bawah merupakan pegawai dari pt indojaya sentosa yaitu Contoh surat keterangan kerja adalah suatu jenis surat resmi untuk menyatakan bahwa seseorang memang sudah bekerja atau masih bekerja di menerangkan bahwa nama di atas, benar bekerja di pt. Surat keterangan ini sekilas hampir mirip dengan surat pernyataan, namun sejatinya ke dua surat tersebut adalah surat yang berbeda. Demikian surat keterangan ini saya. Surat keterangan kerja dibuat untuk memberikan penjelasan atau memberikan informasi bahwa pernah bekerja. Contoh surat pengalaman kerja di rumah sakit. Untuk membuat rekening bank dibutuhkan data informasi pribadi yang dibuktikan dengan identitas. Maka dari itu, beberapa contoh surat pengalaman kerja di bawah ini mungkin bisa anda manfaatkan sebagai bahan referensi. Untuk lebih jelasnya mengenai contoh surat. Jam berapa urus surat sehat di klinik. Surat keterangan kerja adalah surat yang mana isinya menerangkan atau keterangan bahwasannya sesorang bekerja pada sebuah instansi/perusahaan maupun organasasi dengan jabatan sesuai dengan yang ada didalam surat keterangan tersebut.

Bikin surat sehat puskesmas biaya bandung andir. Untuk lebih jelasnya mengenai contoh surat. Surat keterangan kerja yang benar dan baik adalah memiliki bagian kepala surat, perihal surat, isi surat dan penutup surat. Surat keterangan kerja akan menjadi bukti tertulis bahwa yang menunjukan bahwa kamu pernah bekerja pada perusahaan tersebut dan biasanya digunakan untuk mendaftar kerja di tempat lain atau sebagai 2. Surat ini dibuat oleh staff yang tujuannya adalah untuk memberikan penjelasan atau informasi bahwa benar kalau kita sebagai pekerja dan.

Contoh Surat Keterangan Aktif Mengajar Untuk Kepala ...
Contoh Surat Keterangan Aktif Mengajar Untuk Kepala ... from imgv2-1-f.scribdassets.com
Pada surat keterangan kerja seperti yang sudah dijelaskan di atas adalah dokumen yang menyatakan bahwa pegawai tersebut masih aktif bekerja di suatu perusahaan sebagai karyawan yang tetap. Surat keterangan kerja merupakan surat yang diterbitkan oleh perusahaan atau pun suatu instansi di mana seorang karyawan bekerja. Contoh surat keterangan kerja adalah suatu jenis surat resmi untuk menyatakan bahwa seseorang memang sudah bekerja atau masih bekerja di menerangkan bahwa nama di atas, benar bekerja di pt. Surat keterangan adalah surat keterangan adalah surat yang berisi keterangan yang menjelaskan tentang keadaan seseorang atau suatu hal surat keterangan termasuk salah satu jenis surat yang paling banyak di buat karena isi surat keterangan umumnya menyangkut aktivitas manusia. Maka, tentu bekerja menjadi hal yang wajib bagi anda. Pada dasarnya surat kerja berisi keterangan mengenai perilaku anda ketika bekerja di perusahaan. Pesona jakarta sebagai anggota security dan masih aktif. Contoh surat keterangan sehat atau kir.

Surat keterangan kerja adalah surat yang mana isinya menerangkan atau keterangan bahwasannya sesorang bekerja pada sebuah instansi/perusahaan maupun organasasi dengan jabatan sesuai dengan yang ada didalam surat keterangan tersebut.

Fotokopi surat pengalaman kerja di puskesmas randudongkal. Mengenai format surat keterangan kerja, anda dapat melihat berbagai contoh. Maka, tentu bekerja menjadi hal yang wajib bagi anda. Apalagi bila anda sudah berkeluarga dan anda adalah seorang suami. Surat keterangan sehat merupakan dokumen penting yang dibutuhkan untuk berbagai keperluan ketika kamu melamar kerja, mengurus sim, hingga melanjutkan pendidikan, kamu biasanya akan selain melalui puskesmas, kamu juga bisa membuat surat keterangan sehat di rumah sakit terdekat. Di antara sekian banyak berkas lampiran, ada satu berkas atau informasi yang kita cantumkan pada surat lamaran kerja tersebut yaitu mengenai pengalaman. Contoh surat keterangan sehat atau kir. Demikian surat keterangan ini saya. Contoh surat keterangan kerja di sekolah untuk guru. Surat keterangan kerja dibuat untuk memberikan penjelasan atau memberikan informasi bahwa pernah bekerja. Contoh surat pengalaman kerja di rumah sakit. Contoh surat keputusan pengangkatan karyawan kontrak. Surat keterangan kerja akan menjadi bukti tertulis bahwa yang menunjukan bahwa kamu pernah bekerja pada perusahaan tersebut dan biasanya digunakan untuk mendaftar kerja di tempat lain atau sebagai 2.

Yang bertanda tangan di bawah merupakan pegawai dari pt indojaya sentosa yaitu Tidak hanya itu, surat keterangan kerja juga bisa digunakan untuk memberitahu bahwa seseorang sedang aktif bekerja. Surat keterangan kerja di gunakan oleh seorang karyawan atau seseorang yang memiliki ikatan kerja dikeluarkan oleh perusahaan tempat dimana anda bekerja. Surat ini dibuat oleh staff yang tujuannya adalah untuk memberikan penjelasan atau informasi bahwa benar kalau kita sebagai pekerja dan. Surat keterangan kerja juga disebut sebagai surat pengalaman kerja (experience letter).

Contoh Surat Pernyataan Kerja Di Puskesmas : 8 Contoh ...
Contoh Surat Pernyataan Kerja Di Puskesmas : 8 Contoh ... from 3.bp.blogspot.com
Demikian surat lamaran pekerjaan yang saya buat, sangat besar harapan saya agar bapak/ibu dapat mempertimbangkan saya sebagai bagian dari rs siaga medika. Namun beberapa bank hanya melayani pembuatan rekening untuk masyarakat yang berdomisili di daerah pelayanan bank tersebut. Mengenai format surat keterangan kerja, anda dapat melihat berbagai contoh. Contoh surat keterangan sehat atau kir. Contoh surat bisnis, surat dinas, surat izin, surat kuasa, surat lamaran kerja, surat pemberitahuan contoh surat keterangan karyawan aktif yang baik. Tidak hanya itu, surat keterangan kerja juga bisa digunakan untuk memberitahu bahwa seseorang sedang aktif bekerja. Contoh surat keterangan kerja untuk pembuatan rekening. Isi surat tersebut adalah sikap profesionalitas ketika bekerja.

Demikian surat lamaran pekerjaan yang saya buat, sangat besar harapan saya agar bapak/ibu dapat mempertimbangkan saya sebagai bagian dari rs siaga medika.

Surat keterangan kerja di gunakan oleh seorang karyawan atau seseorang yang memiliki ikatan kerja dikeluarkan oleh perusahaan tempat dimana anda bekerja. Contoh surat keterangan kerja untuk kpr. Untuk membuat rekening bank dibutuhkan data informasi pribadi yang dibuktikan dengan identitas. Surat keterangan sehat merupakan dokumen penting yang dibutuhkan untuk berbagai keperluan ketika kamu melamar kerja, mengurus sim, hingga melanjutkan pendidikan, kamu biasanya akan selain melalui puskesmas, kamu juga bisa membuat surat keterangan sehat di rumah sakit terdekat. Contoh surat keputusan pengangkatan karyawan kontrak. Pada dasarnya surat kerja berisi keterangan mengenai perilaku anda ketika bekerja di perusahaan. Ada banyak orang yang bekerja sebagai bidan di puskesmas. Contoh surat pengalaman kerja di rumah sakit. Apalagi bila anda sudah berkeluarga dan anda adalah seorang suami. Surat keterangan aktif kuliah nomor yang bertanda tangan dibawah ini : Yang bertandatangan di bawah ini : Surat keterangan aktif kerja merupakan surat resmi yang dikeluarkan oleh perusahaan/instansi tertentu untuk menerangkan bahwa seseorang masih terdaftar secara resmi sebagai karyawan dan bekerja di perusahaan/instansi terkait. Maka dari itu, beberapa contoh surat pengalaman kerja di bawah ini mungkin bisa anda manfaatkan sebagai bahan referensi.

Advertisement